Задать свой вопрос
*более 50 000 пользователей получили ответ на «Решим всё»
Задача 36608
...
Условие
vk108602570
2019-04-30 08:22:41
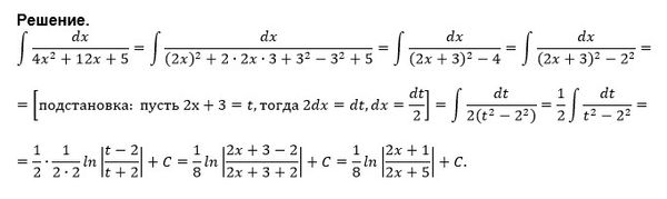
∫ 1/(4x^2+12x+5) dx
математика ВУЗ
690
Решение
u821511235
2019-04-30 08:52:34
★
Написать комментарий
Меню
Решим всё
Найти задачу
Категории
Статьи
Тесты
Архив задач
Присоединяйся в ВК