Задать свой вопрос
*более 50 000 пользователей получили ответ на «Решим всё»
Задача 36605
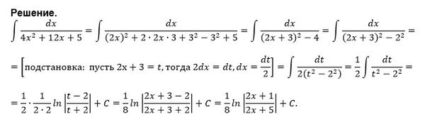
Интеграл 1/( 4x^2+12x+5)dx...
Условие
vk108602570
2019-04-30 07:08:56
Интеграл 1/( 4x^2+12x+5)dx
математика ВУЗ
1084
Решение
u821511235
2019-04-30 07:41:04
★
Написать комментарий
Меню
Решим всё
Найти задачу
Категории
Статьи
Тесты
Архив задач
Присоединяйся в ВК