Задать свой вопрос   *более 50 000 пользователей получили ответ на «Решим всё»

Задача 36574 Изменить порядок интегрирования ...

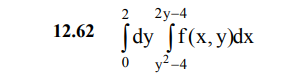
Условие

Изменить порядок интегрирования

математика ВУЗ 853

Все решения

Рисуем область:
y=2
y=0
x=2y-4
x=y^2-4

См. рис.

Входим в область по направлению оси Оу

-4 ≤ х ≤ 0

(х+4)/2 ≤ у ≤ sqrt(x+4)


О т в е т. ∫ ^(0)_(-4) dx∫ ^(sqrt(x+4))_((x+4)/2)f(x;y)dy

Написать комментарий

Меню

Присоединяйся в ВК