Задать свой вопрос
*более 50 000 пользователей получили ответ на «Решим всё»
Задача 36535
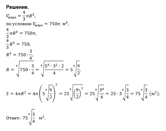
Дано; Шар V=750П м^(3) Найти: S...
Условие
zongtv2222
2019-04-29 00:07:51
Дано; Шар
V=750П м^(3)
Найти: S
математика ВУЗ
561
Решение
u821511235
2019-04-29 06:47:45
★
Написать комментарий
Меню
Решим всё
Найти задачу
Категории
Статьи
Тесты
Архив задач
Присоединяйся в ВК