

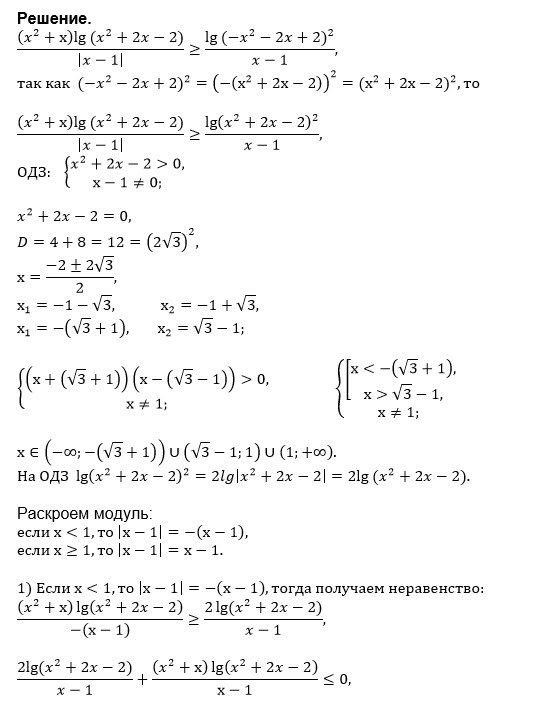
{ [b]x^2+2x-2[/b]>0 ⇒ D=12; x_(1)=-1-sqrt(3);x_(2)=-1+sqrt(3)
{(-x^2-2x+2)^2>0 ⇒ -x^2-2x+2≠0 ⇒ [b]x^2+2x-2 [/b]≠ 0
{x-1 ≠ 0 ⇒ x ≠ 1
x ∈ (- ∞ ; -1-sqrt(3))U(-1+sqrt(3);1) U(1;+ ∞)
Так как
(-x^2+2x-2)^2=(-(x^2-2x+2))^2=(x^2-2x+2)^2
lg(x^2-2x+2)^2=2lg|x^2-2x+2| = (В условиях ОДЗ)=2lg(x^2-2x+2)
Раскрываем [b]модуль в знаменателе[/b]:
[b]1) если х-1 >0[/b] ⇒ |x-1|=x-1
Неравенство принимает вид:
[b](x^2+x)lg(x^2+2x-2)/(x-1) ≥ 2lg(x^2+2x-2)/(x-1)[/b]
(x^2+x-2)*lg(x^2+2x-2)/(x-1) ≥ 0
x^2+x-2=(x+2)(x-1)
x-1 ≠ 0
(x+2)*lg(x^2+2x-2) ≥ 0 ⇒
{x+2 ≥ 0 .............. или......... {x+2 ≤ 0
{lg(x^2+2x-2) ≥ 0..или.......... {lg(x^2+2x-2) ≤ 0
{x+2 ≥ 0 .............. или......... {x+2 ≤ 0
{x^2+2x-2 ≥ 1......или.......... {x^2+2x-2 ≤ 1
{x+2 ≥ 0 .............. или......... {x+2 ≤ 0
{x^2+2x-3 ≥0........или.......... {x^2+2x-3 ≤ 0
D=4+12=16; корни (-3) и 1
[b]x ∈ [1;+ ∞ )[/b] ....... или...... х ∈[b] [-3;-2][/b] - не удовл условию x ≥1
2) если x-1 < 0 ⇒ |x-1|= - (x-1)
Неравенство принимает вид:
[b] - (x^2+x)lg(x^2+2x-2)/(x-1) ≥ 2lg(x^2+2x-2)/(x-1)[/b]
(-x^2-x-2)*lg(x^2+2x-2)/(x-1) ≥ 0
(x^2+x+2)*lg(x^2+2x-2)/(x-1) ≤ 0
x^2+x+2 > 0 при любом х, так как D=1-4*2<0
lg(x^2+2x-2)/(x-1) ≤ 0⇒
{x-1 < 0 .............. или......... {x-1 > 0
{lg(x^2+2x-2) ≥ 0..или.......... {lg(x^2+2x-2) ≤ 0
{x-1 < 0 .............. или......... {x-1 > 0
{x^2+2x-2 ≥ 1......или.......... {x^2+2x-2 ≤ 1
{x-1 < 0 .............. или......... {x-1 > 0
{x^2+2x-3 ≥0........или.......... {x^2+2x-3 ≤ 0
D=4+12=16; корни (-3) и 1
[b]x ∈ (- ∞;-3] ....... или...... х ∈∅ [/b]
Ответ первого и второго случаев (- ∞;-3] U [1;+ ∞ )
С учетом ОДЗ (- ∞;-3]U(1;+ ∞ )
О т в е т. [b](- ∞;-3]U(1;+ ∞ )[/b]