Задать свой вопрос   *более 50 000 пользователей получили ответ на «Решим всё»

Задача 36486 Надо Найти общий Интеграл (решение)...

Условие

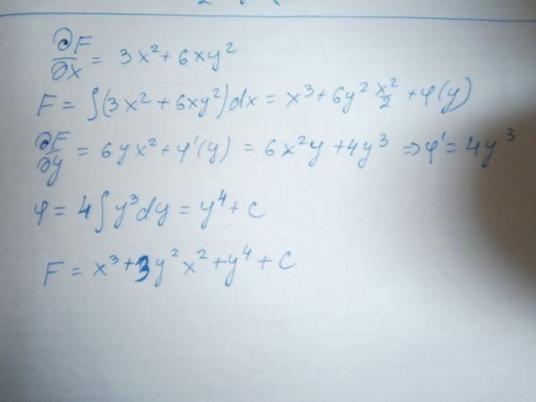
Надо Найти общий Интеграл (решение) дифференциального уравнения.

математика ВУЗ 670

Все решения

Смешанные производные равны 12yx. Значит это уравнение в полных дифференциалах

Написать комментарий

Меню

Присоединяйся в ВК