Задать свой вопрос
*более 50 000 пользователей получили ответ на «Решим всё»
Задача 36447
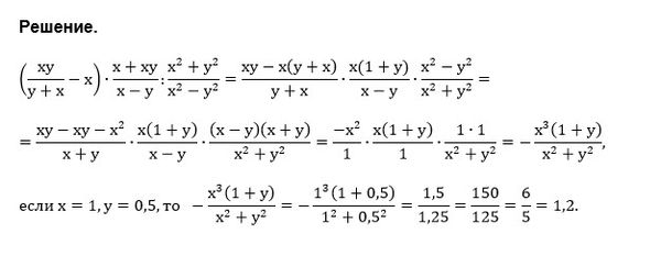
Вычислить значение выражения...
Условие
u374520880
2019-04-26 14:41:23
Вычислить значение выражения (xy/y+x-x)(x+xy/x-y):x^2+y 2^/x^-y^ при этом x=1, y=05
предмет не задан
2377
Все решения
u821511235
2019-04-26 17:10:05
Написать комментарий
Меню
Решим всё
Найти задачу
Категории
Статьи
Тесты
Архив задач
Присоединяйся в ВК