Задать свой вопрос
*более 50 000 пользователей получили ответ на «Решим всё»
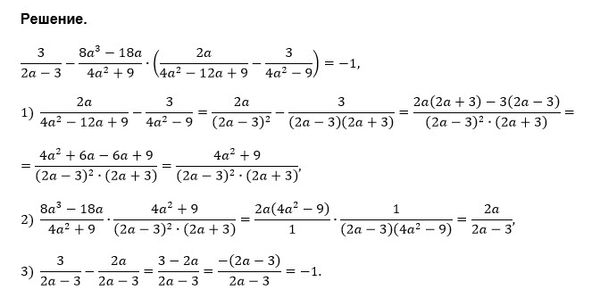
Задача 36441
Доказать тождество ...
Условие
vk436820776
2019-04-26 11:35:18
Доказать тождество
математика 8-9 класс
3658
Решение
u821511235
2019-04-26 12:17:15
★
Написать комментарий
Меню
Решим всё
Найти задачу
Категории
Статьи
Тесты
Архив задач
Присоединяйся в ВК