Задать свой вопрос
*более 50 000 пользователей получили ответ на «Решим всё»
Задача 36438
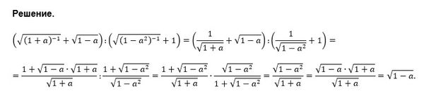
Упростите выражение...
Условие
u374520880
2019-04-26 10:26:25
Упростите выражение
предмет не задан
632
Решение
u821511235
2019-04-26 12:57:55
★
Написать комментарий
Меню
Решим всё
Найти задачу
Категории
Статьи
Тесты
Архив задач
Присоединяйся в ВК