Задать свой вопрос
*более 50 000 пользователей получили ответ на «Решим всё»
Задача 36437
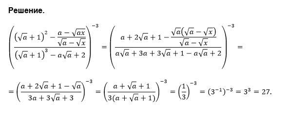
Упростите выражение ...
Условие
u374520880
2019-04-26 08:29:39
Упростите выражение
предмет не задан
591
Решение
u821511235
2019-04-26 09:39:12
★
Написать комментарий
Меню
Решим всё
Найти задачу
Категории
Статьи
Тесты
Архив задач
Присоединяйся в ВК