Задать свой вопрос   *более 50 000 пользователей получили ответ на «Решим всё»

Задача 36435 Решить методом непосредственного...

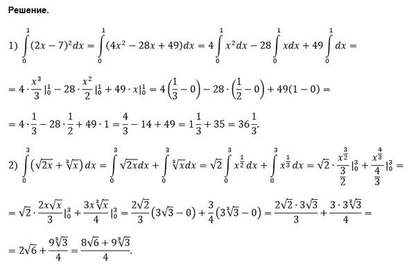
Условие

Решить методом непосредственного интегрирования или методом подставки

математика ВУЗ 800

Решение

Все решения

Это интеграл от степенной функции
∫ u^2du

d(2x-7)=2dx
dx=(1/2)d(2x-7)

=(1/2) ∫ ^(1)_(0)(2x-7)^2d(2x-7)=((1/2)*(2x-7)^3/3)|^(1)_(0)=

=(1/6)*(2*1-7)^3-(1/6)*(2)*0-7)^3=(1/6)(-5)^3-(1/6)*(-7)^3=

=(1/6)*(7^3-5^3)=(1/6)*(7-5)*(7^2+7*5+5^2)=109/3= [b]36 (1/3)
[/b]
2.
Метод замены
x=t^6
sqrt(x)=t^3
∛x=t^2
dx=6t^5dt

Пределы интегрирования:
если x=0, то t=0
если х=3, то t=3^(1/6)

= ∫^(3^(1/6))_(0) (sqrt(2)*t^3+t^2)6t^5dt=

=6sqrt(2) ∫^(3^(1/6))_(0)t^8dt+6 ∫^(3^(1/6))_(0)t^7dt=

=6sqrt(2)*(t^9/9)|^(3^(1/6))_(0)+6*(t^(8)/8)|^(3^(1/6))_(0)=

=(2/3)sqrt(2)*3^(3/2)+(3/4)3^(8/6)=

=(2/3)sqrt(2)*3sqrt(3)+(3/4)*3∛3=

= [b]2sqrt(6)+(9/4)*∛3[/b]

Написать комментарий

Меню

Присоединяйся в ВК