Задать свой вопрос   *более 50 000 пользователей получили ответ на «Решим всё»

Задача 36434 Вершины K и L квадрата KLMN с центром O...

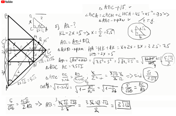
Условие

Вершины K и L квадрата KLMN с центром O лежат на стороне AB треугольника ABC, а вершины M и N - на сторонах BC и AC соответственно. Высота CH треугольника ABC проходит через точку О и пересекает отрезок MN в точке D, причём CD=DO=OH. а) Докажите, что треугольник ABC равнобедренный и прямоугольный. б) Пусть прямая AD пересекает сторону ВС в точке Q. Найдите AQ , если сторона квадрата KL=2.

предмет не задан 6948

Все решения

Есть видео в ютубе с подробным решением

Написать комментарий

Меню

Присоединяйся в ВК