Задать свой вопрос   *более 50 000 пользователей получили ответ на «Решим всё»

Задача 36427 ...

Условие

№1. Упростите выражение:
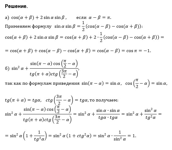
А) cos(α + β) + 2 sin α sin β, если α - β = π.

Б) sin^2 α +
sin (π - α) cos (π/2 - α)
-------------------------
tg (π + α) ctg (3π/2 - α) ? α ≠ πn / 2, n ∈ Z.

математика 10-11 класс 856

Решение

Написать комментарий

Меню

Присоединяйся в ВК