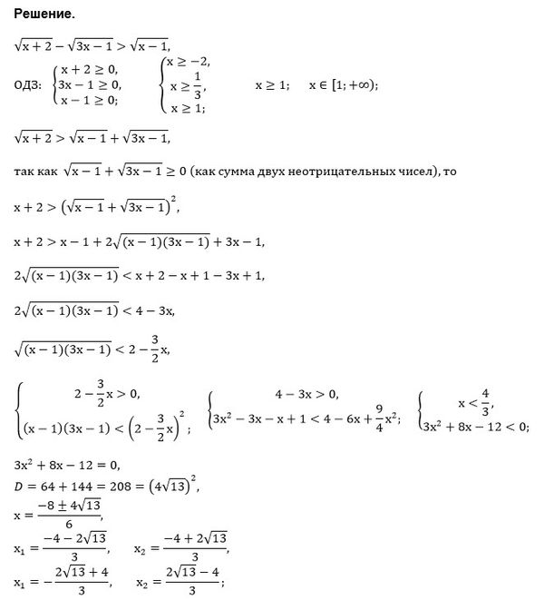
{x + 2 ≥ 0 ⇒ x ≥ -2
{3x-1≥ 0 ⇒ x ≥ 1/3
{x-1≥ 0 ⇒ x ≥ 1
ОДЗ: х∈ [1;+∞)
√x+2 > √x–1 + √3x–1
Возводим в квадрат
x+2 > x-1+3x-1 +2√x–1 * √3x–1
2√x–1 * √3x–1 < 4-3x
4-3x ≥ 0 иначе нет смысла ( неотрицательная левая часть не может быть меньше отрицательной правой)
Возводим в квадрат
4*(x - 1)*(3x - 1) < 16 - 24x + 9x^2
12x^2 - 16x + 4 < 16 - 24x +9x^2
3x^2 +8x -12 <0
D=64+144=208
x_(1)=(-8-4sqrt(13))/6; x_(2)=(-8+4sqrt(13))/6
(-4-2sqrt(13))/3 < x <(-4+2sqrt(13))/3
C учетом ОДЗ и условия 4-3x ≥ 0 получаем ответ....
