Задать свой вопрос
*более 50 000 пользователей получили ответ на «Решим всё»
Задача 36419
№6. Докажите справедливость...
Условие
ultraman
2019-04-25 19:17:36
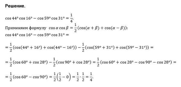
№6. Докажите справедливость равенства
cos 44° cos 16° – cos 59° cos 31° = 1/4
математика 10-11 класс
868
Решение
u821511235
2019-04-25 19:43:26
★
Написать комментарий
Меню
Решим всё
Найти задачу
Категории
Статьи
Тесты
Архив задач
Присоединяйся в ВК