Задать свой вопрос
*более 50 000 пользователей получили ответ на «Решим всё»
Задача 36411
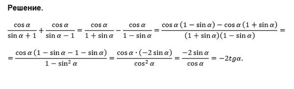
cos a / (sin a + 1) + cos a / (...
Условие
vk206810939
2019-04-25 18:10:02
cos a / (sin a + 1) + cos a / ( sin a - 1)
математика 10-11 класс
617
Все решения
u821511235
2019-04-26 08:32:59
Написать комментарий
Меню
Решим всё
Найти задачу
Категории
Статьи
Тесты
Архив задач
Присоединяйся в ВК