Задать свой вопрос
*более 50 000 пользователей получили ответ на «Решим всё»
Задача 36401
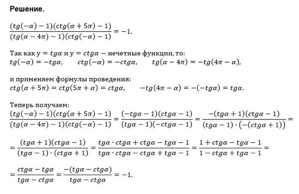
Докажите равенство...
Условие
vk161468597
2019-04-25 17:32:22
Докажите равенство (tg(-a)-1)(ctg(a+5п)-1)/(tg(a-4п)-1)(ctg(-a)-1)=-1
математика 10-11 класс
4882
Решение
u821511235
2019-04-25 21:22:12
★
Написать комментарий
Меню
Решим всё
Найти задачу
Категории
Статьи
Тесты
Архив задач
Присоединяйся в ВК