Задать свой вопрос
*более 50 000 пользователей получили ответ на «Решим всё»
Задача 36392
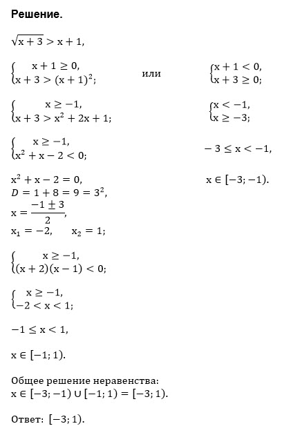
Решите неравенство sqrt(x+3) > x+1...
Условие
u374520880
2019-04-25 16:29:07
Решите неравенство sqrt(x+3) > x+1
предмет не задан
680
Решение
u821511235
2019-04-25 16:48:45
★
Написать комментарий
Меню
Решим всё
Найти задачу
Категории
Статьи
Тесты
Архив задач
Присоединяйся в ВК