Задать свой вопрос
*более 50 000 пользователей получили ответ на «Решим всё»
Задача 36370
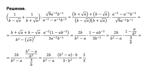
Упростить выражение...
Условие
u374520880
2019-04-25 14:56:20
Упростить выражение
предмет не задан
628
Решение
u821511235
2019-04-25 16:05:57
★
Написать комментарий
Меню
Решим всё
Найти задачу
Категории
Статьи
Тесты
Архив задач
Присоединяйся в ВК