Задать свой вопрос   *более 50 000 пользователей получили ответ на «Решим всё»

Задача 3637 Из пункта А в пункт В одновременно...

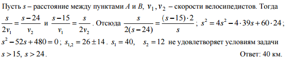
Условие

Из пункта А в пункт В одновременно выехали два велосипедиста. Когда первый велосипедист проехал половину пути, второму осталось проехать 24 км, а когда второй проехал половину пути, первому осталось проехать 15 км. Найдите расстояние между пунктами А и В

математика 10-11 класс 7244

Решение



Ответ: 40

Написать комментарий

Меню

Присоединяйся в ВК