Задать свой вопрос
*более 50 000 пользователей получили ответ на «Решим всё»
Задача 36272
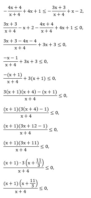
Решить неравенство (ЕГЭ...
Условие
vk140532128
2019-04-23 18:08:54
Решить неравенство (ЕГЭ профиль)
Подробное решение пожалуйста
математика 10-11 класс
751
Все решения
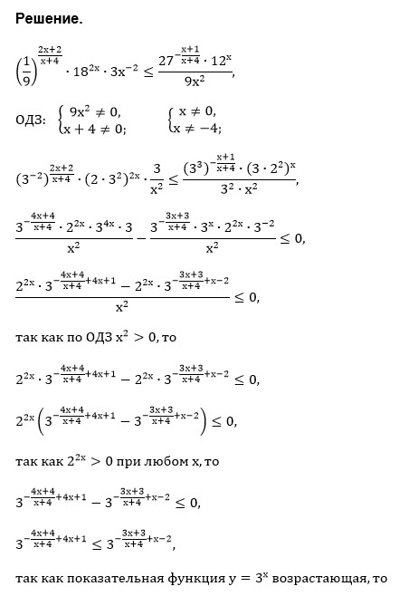
u821511235
2019-04-24 00:07:52
Написать комментарий
Меню
Решим всё
Найти задачу
Категории
Статьи
Тесты
Архив задач
Присоединяйся в ВК