Задать свой вопрос   *более 50 000 пользователей получили ответ на «Решим всё»

Задача 3626 Груз поднимают с некоторым ускорением,...

Условие

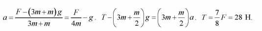
Груз поднимают с некоторым ускорением, направленным вертикально вверх, прикладывая силу F = 32 Н к привязанному к грузу массивному однородному канату. Масса груза в 3 раза больше массы каната. Найдите силу натяжения каната в его середине.

физика 10-11 класс 6854

Решение



Ответ: 28

Вопросы к решению (1)

Написать комментарий

Меню

Присоединяйся в ВК