{x^2 ≠ 0 ⇒ x ≠ 0
{2x+4 ≠ 0 ⇒ x ≠ -2
0,5^(-(x-2)/(2x+4))=2^((x-2)/(2x+4))
10^(x) > 0
x^2>0
40^(x)=4^(x)*10^(x)
Неравенство принимает вид
2^((x-2)/(2x+4)) ≥ 32^(-(x-2)/(2x+4))*4^(x)/16
Далее все стандартно.
2^( α ) ≥ 2^( β ) ⇒ α ≥ β
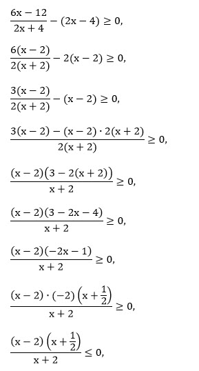
(x-2)/(2x+4) ≥ 5*(-x+2)/(2x+4) +(2x-4)
(x-2+5x-10-4x^2+16)/(2x+4) ≥ 0
(2x^2-3x-2)/(x+2) ≤ 0
D=25
(2х+1)(х-2)/(х+2) ≤ 0
_-___ (-2) __+__ [-1/2] __-___ [2] __+____
(- ∞ ;-2) U [-1/2;2]
С учетом ОДЗ
[b](- ∞ ;-2) U [-1/2;0) U (0;2][/b]

