1) Вычислите значение выражения:
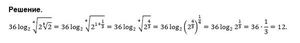
36 Log₂ ⁴ sqrt(2^3 sqrt(2) )
2) Основа прямой призмы-треугольник с стороной "С" и первыми до этой углами α и β. Диагональ большей грани, что проходит через сторону основы, которая противоположна углу α, наклонена к площади основы под углом γ. Найдите высоту призмы.
И подскажите учебник пожалуйста!