Задать свой вопрос
*более 50 000 пользователей получили ответ на «Решим всё»
Задача 36187
...
Условие
hufflepuff
2019-04-22 13:14:01
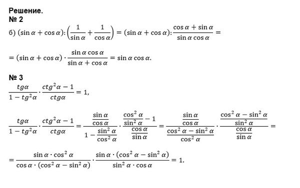
2 б) (sina+cosa) : ( 1/sina 1/cosa)
упростить
3) tga/1-tg²a × ctg²a-1/ctga = 1 доказать тождество
математика 10-11 класс
2814
Решение
u821511235
2019-04-23 00:17:31
★
Написать комментарий
Меню
Решим всё
Найти задачу
Категории
Статьи
Тесты
Архив задач
Присоединяйся в ВК