Задать свой вопрос
*более 50 000 пользователей получили ответ на «Решим всё»
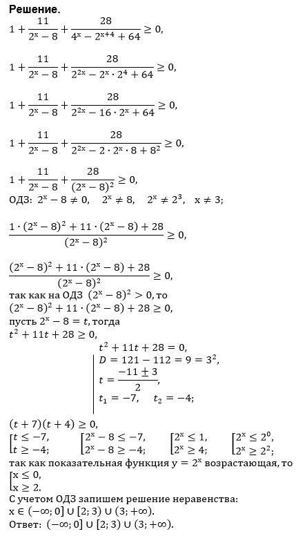
Задача 36164
1+11/(2^x-8)+28/(4^x-2^(x+4)+64)больше...
Условие
debil11iq
2019-04-21 22:33:12
1+11/(2^x-8)+28/(4^x-2^(x+4)+64)больше либо равно нуля
Поподробнее пожалуйста
математика 10-11 класс
8489
Все решения
u821511235
2019-04-21 23:00:57
Написать комментарий
Меню
Решим всё
Найти задачу
Категории
Статьи
Тесты
Архив задач
Присоединяйся в ВК