Задать свой вопрос   *более 50 000 пользователей получили ответ на «Решим всё»

Задача 36126 Помогите, пожалуйста. ...

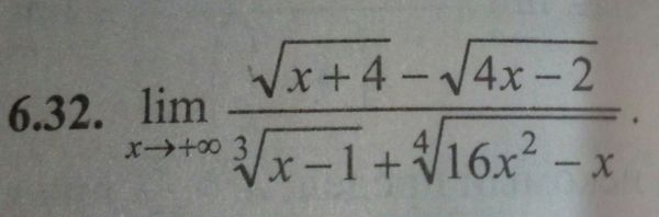
Условие

Помогите, пожалуйста.

математика ВУЗ 646

Решение

Так как в числителе неопределенность ( ∞ - ∞ ),
умножаем и числитель знаменатель на
sqrt(x+4)+sqrt(4x-2)
Применяем формулу разности квадратов.
В числителе
x+4-(4x-2)=6-3x

Теперь имеем неопределенность ( ∞ / ∞ )

Делим на х
Причем в знаменателе в первой скобке каждое слагаемое на sqrt(x) и во второй на sqrt(x)

Написать комментарий

Меню

Присоединяйся в ВК