Задать свой вопрос
*более 50 000 пользователей получили ответ на «Решим всё»
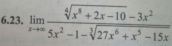
Задача 36113
Помогите, пожалуйста. ...
Условие
vk492871866
2019-04-20 14:18:43
Помогите, пожалуйста.
математика ВУЗ
572
Решение
sova
2019-04-20 14:20:18
★
Неопределённость (∞ / ∞ )
Делим на х^2:
Написать комментарий
Меню
Решим всё
Найти задачу
Категории
Статьи
Тесты
Архив задач
Присоединяйся в ВК