Задать свой вопрос   *более 50 000 пользователей получили ответ на «Решим всё»

Задача 36002 ...

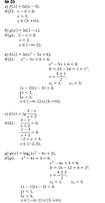
Условие

Найти область определения функции

а) f(x)=ln(x-3)
б) g(x)=ln(2-x)
в) h(x)=ln(x^2-5x+6)
г) k(x)=lg (3-x)/(x+2)
д) ψ(x)=log2(x^2-4x+3)

математика 10-11 класс 689

Решение

Написать комментарий

Меню

Присоединяйся в ВК