Задать свой вопрос   *более 50 000 пользователей получили ответ на «Решим всё»

Задача 35966 Определить работу, которую выполняют...

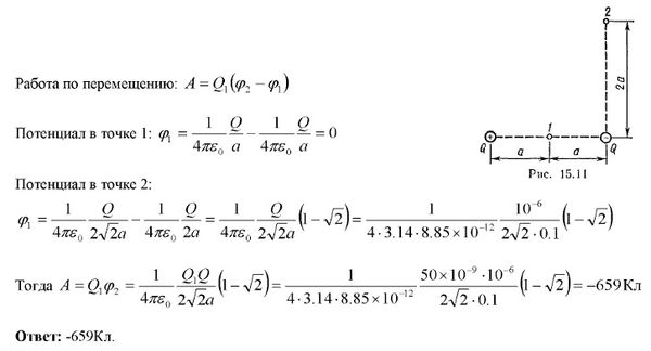
Условие

Определить работу, которую выполняют силы поля при перемещении заряда Q1 = 50нКлвид точки 1 до точки 2 в поле, созданное зарядами Q и -Q,|Q|= 1 млКл; а = 0,1 м

предмет не задан 627

Решение

Написать комментарий

Меню

Присоединяйся в ВК