Задать свой вопрос   *более 50 000 пользователей получили ответ на «Решим всё»

Задача 3596 system{(y^2-xy+3x-y-6)sqrt(x+2)/sqrt(6-x)=0;...

Условие

system{(y^2-xy+3x-y-6)sqrt(x+2)/sqrt(6-x)=0; x+y-a=0} Найдите все значения а, при каждом из которых система уравнений имеет ровно два различных решения.

математика 10-11 класс 36900

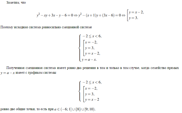
Решение



Ответ: (-6; 1] U {8} U [9; 10)

Вопросы к решению (8)

Написать комментарий

Меню

Присоединяйся в ВК