Задать свой вопрос
*более 50 000 пользователей получили ответ на «Решим всё»
Задача 35950
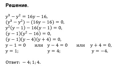
y^3-y^2=16y-16...
Условие
blakshari
2019-04-16 20:37:30
y^3-y^2=16y-16
математика 6-7 класс
1526
Все решения
u821511235
2019-04-16 20:46:01
Написать комментарий
Меню
Решим всё
Найти задачу
Категории
Статьи
Тесты
Архив задач
Присоединяйся в ВК