Задать свой вопрос   *более 50 000 пользователей получили ответ на «Решим всё»

Задача 3592 Решите неравенство log2^2(4+3x-x^2) +...

Условие

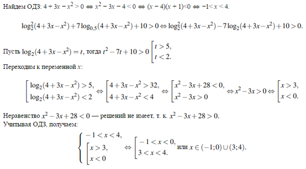
Решите неравенство log2^2(4+3x-x^2) + 7log(0,5)(4+3x-x^2) + 10 > 0

математика 10-11 класс 32757

Решение



Ответ: (-1; 0) U (3;4)

Вопросы к решению (3)

Написать комментарий

Меню

Присоединяйся в ВК