Задать свой вопрос   *более 50 000 пользователей получили ответ на «Решим всё»

Задача 35901 ...

Условие

[b]С пояснением, пожалуйста.[/b]
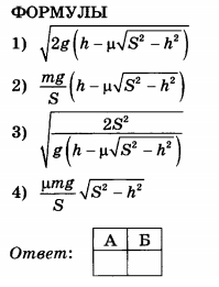
Брусок массой m соскальзывает из состояния покоя по наклонной плоскости высотой h и длиной S. Коэффициент трения между бруском и плоскостью равен μ . Установите соответствие между физическими величинами и формулами, по которым их можно рассчитать.

К каждой позиции первого столбца подберите соответствующую позицию второго и запишите в таблицу выбранные цифры под соответствующими буквами.

[b]ФИЗИЧЕСКИЕ ВЕЛИЧИНЫ[/b]

А) сила трения, действующая на брусок
Б) время движения бруска

физика 10-11 класс 4176

Все решения

Написать комментарий

Меню

Присоединяйся в ВК