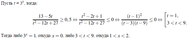
Решить неравенство 13-5*3^x / (9^x-12*3^x+27) больше или равно 0.5
Ответ: {0} U (1;2)
t^2-2t+1
13-5t - 0,5t^2 - 0.5*12t + 0.5*27 = t^2-2t+1
Там не получится в числителе t^2-2t+1
как от 13-5t мы пришли к t^2-2t+1 в числителе?, почему поменялся знак больше или равно?, куда делать 0,5?
(13-5t - 0,5(t^2-12t+27))/(t^2-12t+27) >= 0 , потом мы домножим на -1 и знак изменится <= 0
напишите пожалуйста все по-порядку!)))
13-5t-0.5*t^2-0.5(-12t)-0.5*27 > = 0 домножим на 2 26-10t-t^2+12t-27 > =0 -t^2+2t-1 > =0 разделим на 1 t^2-2t+1≤0
Как из 1го 2е получили?
Как получили t^2-2t+1?
Объяснял уже.
Куда делось 0,5
Ушло в левую часть неравенства. Как именно это произошло смотрите комментарии выше
Почему больше или равно сменилось на меньше или равно?
Ой, уже все нашел, спасибо☺
Рад за Вас!)
Как из (13-5t) получилось (y^2-2t+1)?
Почему t=1?
Откуда взялся t^2
Почему (t-1)^2?
Если решите квадратное уравнение в числители получится 1 корень (или 2 совмещенных) корень t = 1 в таких случаях записывают (t-1)^2