Задать свой вопрос   *более 50 000 пользователей получили ответ на «Решим всё»

Задача 35899 Решите уравнения методом универсальной...

Условие

Решите уравнения методом универсальной постановки
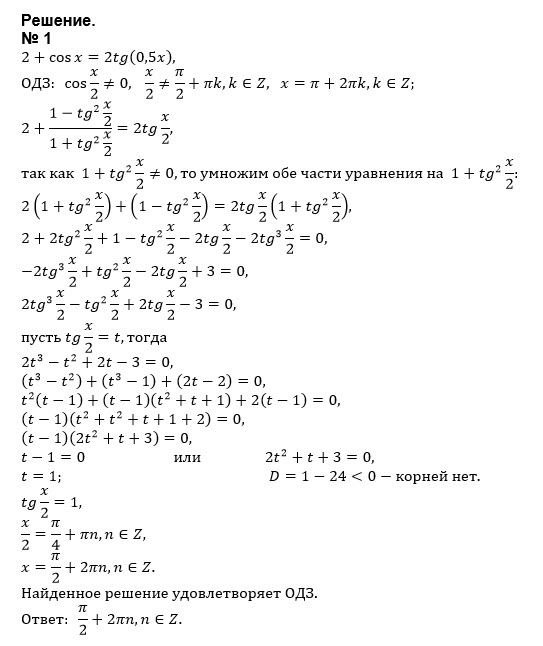
2+cos(x)=2tg(0,5x)
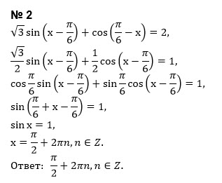
sqrt(3)sin(x - pi/6)+cos(pi/6 - x) = 2

математика 10-11 класс 855

Все решения

Написать комментарий

Меню

Присоединяйся в ВК