Задать свой вопрос   *более 50 000 пользователей получили ответ на «Решим всё»

Задача 3588 а) Решите уравнение cos(2x+Pi/4) +...

Условие

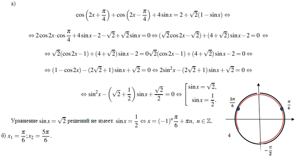
а) Решите уравнение cos(2x+Pi/4) + cos(2x-Pi/4) + 4sinx = 2 + sqrt(2)(1-sinx)
б) Найдите все корни на промежутке [-Pi/2; 4]

математика 10-11 класс 12102

Решение



Ответ: В решение

Вопросы к решению (1)

Написать комментарий

Меню

Присоединяйся в ВК