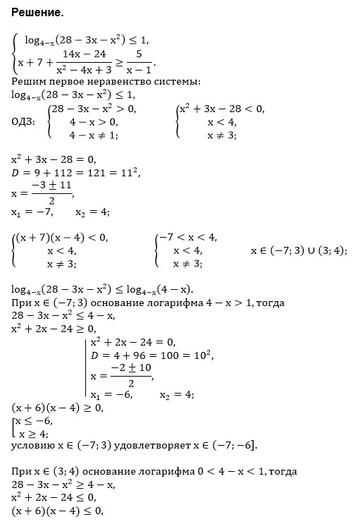
Задание 15 (ФИПИ):


{4-x ≠ 1 ⇒ x ≠ 3
{28-3x-x^2>0 ⇒ D=121; -7 < x < 4
ОДЗ: x ∈ (-7;3)U(3;4)
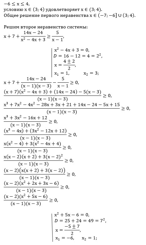
Применяем [b] метод рационализации[/b] к первому неравенству, второе приводим к общему знаменателю:
{(4-x-1)*(28-3x-x^2-4+x) ≤ 0
{(x^3+3x^2-16x+12)/(x-1)(x-3) ≥ 0
{(x-3)*(x^2+2x-24) ≤ 0 D=4+96=100; корни -6 и 4
{(x-1)*(x^2+4x-12)/(x-1)(x-3) ≥ 0 D=16+48=64; корни -6 и 2
{(x-3)*(x-4)(x+6) ≤ 0 __________-_ [-6] _______________ [3] _-_ [4] __
{(x-1)(x-2)(x+6)/(x-1)(x-3) ≥ 0 ____ [-6] _+__[1] _+_ [2] __ [3]_+___
С учетом ОДЗ получаем о т в е т.
{-6}U(3;4)