Задать свой вопрос
*более 50 000 пользователей получили ответ на «Решим всё»
Задача 35864
1) 2x^(3)-x^(2)-3x<0 метод интервалов 2)...
Условие
sa2842004
2019-04-15 12:17:20
1) 2x^(3)-x^(2)-3x<0 метод интервалов
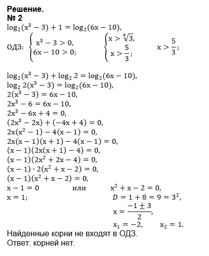
2) log_(2) (x^(3)-3)+1=log_(2) (6x-10)
математика 10-11 класс
1043
Решение
u821511235
2019-04-16 11:53:56
★
Написать комментарий
Меню
Решим всё
Найти задачу
Категории
Статьи
Тесты
Архив задач
Присоединяйся в ВК