Задать свой вопрос   *более 50 000 пользователей получили ответ на «Решим всё»

Задача 35849 Вычислите указанный несобственный...

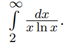
Условие

Вычислите указанный несобственный интеграл или докажите, что он расходится

математика ВУЗ 782

Решение

∫ dx/xlnx= ∫ dlnx/lnx=ln(lnx) oт 2 до бесконечности расходится.

Написать комментарий

Меню

Присоединяйся в ВК