Задать свой вопрос   *более 50 000 пользователей получили ответ на «Решим всё»

Задача 35823 При каких значениях параметра а система ...

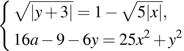
Условие

При каких значениях параметра а система имеет четыре решения?

предмет не задан 4088

Все решения

Второе уравнение:
25x^2+y^2+6y+9=16a
(5x)^2+(y+3)^2=16a

Замена:
sqrt(|y+3|)=u
u ≥ 0
sqrt(5|x|)=v
v ≥ 0
В силу симметрии достаточно ответить на вопрос

При каких значениях система:
{u=1-v
{u≥ 0
{v≥ 0
{u^4+v^4=16a
имеет 1 корень

(1-v)^4+v^4=16a

1-4v+6v^2-4v^3+2v^4=16a

2v^4-4v^3+6v^2-4v+1-16a=0 - при каких значениях параметра а уравнение имеет 1 корень?

или

(1/8)v^4-(1/4)v^3+(3/8)v^2-(1/4)v+(1/16)=a

Исследуем функцию

g(v)=(1/8)v^4-(1/4)v^3+(3/8)v^2-(1/4)v+(1/16)

строим график

g`(v)=(4/8)v^3-(3/4)v^2+(6/8)v-(1/4) возрастающая функция

g`(v)=0
обращается в 0 в единственной точке:

v=1/2 - точка минимума, производная меняет знак с - на +

При v=1/2

g(1/2)=(1/8)*(1/16)-(1/4)*(1/8)+(3/8)*(1/4)-(1/4)*(1/2)+(1/16)=

=1/128


При а=1/128 единственное решение

Тогда данная cистема имеет 4 решения

Ошибки в решение (1)

Написать комментарий

Меню

Присоединяйся в ВК