Задать свой вопрос   *более 50 000 пользователей получили ответ на «Решим всё»

Задача 35810 найти интеграл от рациональной функции ...

Условие

найти интеграл от рациональной функции

математика ВУЗ 761

Решение

Выделяем полный квадрат:

x^2-7x+12=(x^2-2*x*(7/2)+(7/2)^2)-(7/2)^2+12=

=(x-(7/2))^2-(1/4)

Замена переменной:

x-(7/2)=u
x=u+(7/2)
dx=du

2х-3=2*(u+(7/2))-3=2u+4

∫ (2х-3)dx/(x^2-7x+12)= ∫ (2u+4)du/(u^2-(1/4)) =

интеграл от суммы равен сумме интегралов=

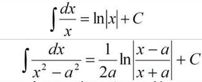
=∫ 2udu/(u^2-(1/4)) + 4 ∫ du/(u^2-(1/4))=

=ln|u^2-(1/4)|+ 4*( 1/2*(1/2))ln|(u-(1/2))/(u+(1/2)|+C=
=ln|x^2-7x+12|+4ln|(2x-8)/(2x-6)|+C=

= [b]ln|x^2-7x+12|+4ln|(x-4)/(x-3)|+C[/b]

Написать комментарий

Меню

Присоединяйся в ВК