Задать свой вопрос   *более 50 000 пользователей получили ответ на «Решим всё»

Задача 35809 найдите производную функции...

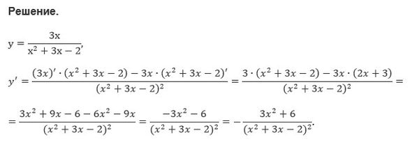
Условие

найдите производную функции y=(3x)/(x^2+3x-2)

математика 10-11 класс 1502

Решение

Производная дроби.
По формуле
(u/v)`=(u`*v-u*v`)/v^2

u=3x
v=x^2+3x-2

u=3
v`=2x+3

y`=(3*(x^2+3x-2)-(3x)*(2x+3))/(x^2+3x-2)^2

y`=(3x^2+9x-6-6x^2-9x)/(x^2+3x-2)^2

y`=(-3x^2-6)/(x^2+3x-2)^2

Все решения

Написать комментарий

Меню

Присоединяйся в ВК