Задать свой вопрос   *более 50 000 пользователей получили ответ на «Решим всё»

Задача 35805 Решите систему уравнений: а)...

Условие

Решите систему уравнений:
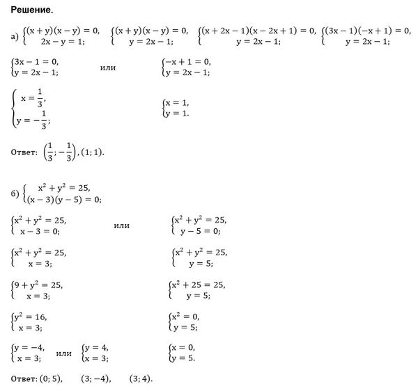
а) (x+y)(x-y)=0;
2x-y=1;
б) x^2+y^2=25;
(x-3)(y-5)=0;
в) (x^2+y^2)=100;
(x-7y)(x+7y)=0;
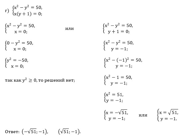
г) x^2-y^2=50;
x(y+1)=0

математика 8-9 класс 3266

Решение

Написать комментарий

Меню

Присоединяйся в ВК