Задать свой вопрос   *более 50 000 пользователей получили ответ на «Решим всё»

Задача 3579 а) Решить уравнение cos2x -...

Условие

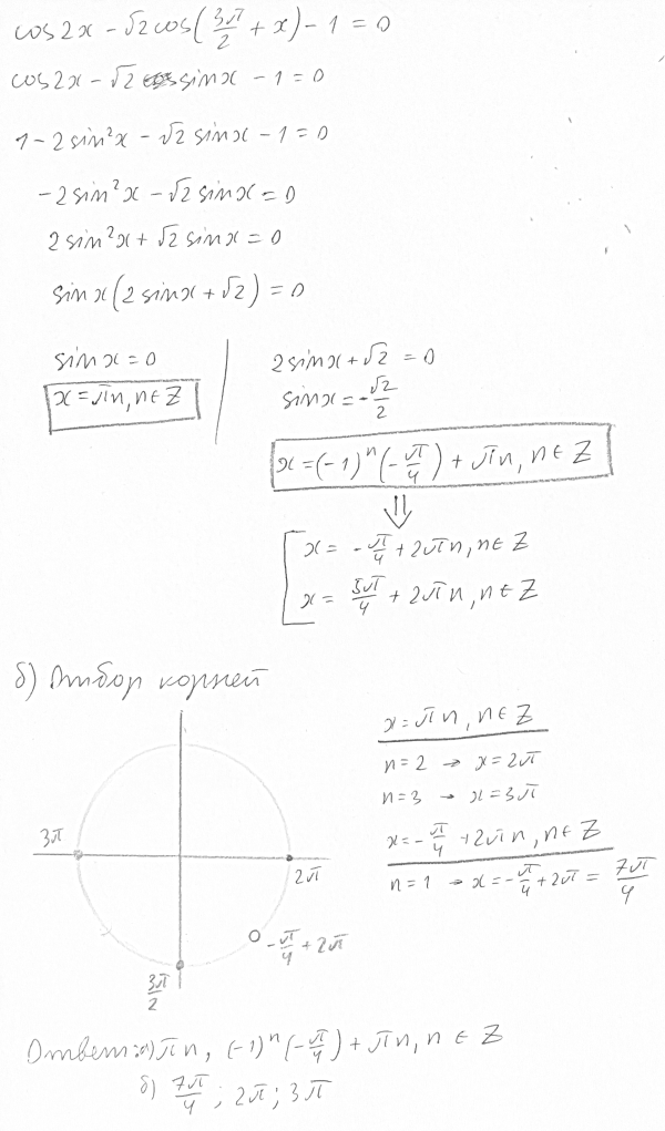
а) Решить уравнение cos2x - sqrt(2)cos(3Pi/2 + x) - 1 = 0
в) Указать корни на промежутке уравнения, принадлежащие промежутку [ 3Pi/2 ; 3Pi ]

математика 10-11 класс 93063

Решение

отбор корней через тригонометрическую окружность

Написать комментарий

Меню

Присоединяйся в ВК