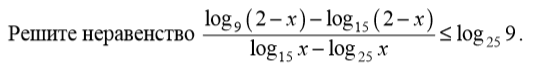
Решите неравенство ( log9(2-x) - log(15)(2-x) ) / (log(15)x - log(25)x) меньше или равно log(25)9
Ответ: (0;1), (1;2)
все понятно, но последняя строчка... откуда взялось такое решение?
мы рассматриваем при значениях от 0 до 1, затем от 1 до 2, и так как это так, это и записываем в ответ
все
ничего не поняла, а можете по подробнее...))
Что именно непонятно?
Почему x≠1?
Потому что в таком случае мы получим 0 в знаменателе. log(15)1-log(25)1 = 0-0 = 0. А на ноль делить нельзя)