Задать свой вопрос   *более 50 000 пользователей получили ответ на «Решим всё»

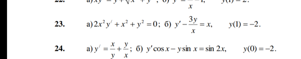
Задача 35641 Решить дифференциальное уравнение...

Условие

Решить дифференциальное уравнение первого порядка:а)найти общий интеграл
б)найти частное решение дифференциального ура
внения.....(24 пример)

математика ВУЗ 856

Все решения

а) однородное
Замена
y/x=u
y=xu
y`=u+x*u`

u+x*u`=(1/u)+u
x*u`=(1/u)
xdu=dx/u
udu=dx/x


∫ udu= ∫ dx/x

u^2/2=ln|x|+lnc

(y/x)^2=2ln|cx|

Cx^2=e^((y/x)^2); C=c^2

б)
y`-y*tgx=2cosx

y=u*v
y`=u`*v+u*v`

u`*v+u*v`-u*v*tgx=2cosx

u`*v+u*(v`-vtgx)=2cosx

пусть

1)(v`-vtgx)=0 ⇒ dv/v=tgxdx; lnv=-ln|cosx| ⇒v=1/cosx

тогда
2)
u`*v=2cosx

u`*(1/cosx)=2cosx
u`=2cos^2x

u`=1+cos2x

u=x+(1/2)sin2x+C

[b]y= (x+(1/2)sin2x+C)/cosx[/b]

y(0)=-2

-2=(0+(1/2)*sin0+C)/cos0

C=-2
[b]y= (x+(1/2)sin2x-2)/cosx[/b]


Написать комментарий

Меню

Присоединяйся в ВК