Задать свой вопрос
*более 50 000 пользователей получили ответ на «Решим всё»
Задача 35610
...
Условие
vk361484311
2019-04-10 04:21:23
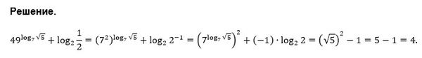
49^(log_7 √5) + log_2 1/2
предмет не задан
518
Все решения
u821511235
2019-04-10 11:22:14
Написать комментарий
Меню
Решим всё
Найти задачу
Категории
Статьи
Тесты
Архив задач
Присоединяйся в ВК