Задать свой вопрос
*более 50 000 пользователей получили ответ на «Решим всё»
Задача 35608
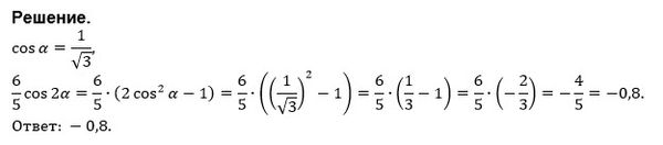
Найдите значение выражения 6/5*cos2a,...
Условие
vk405763892
2019-04-09 23:06:34
Найдите значение выражения 6/5*cos2a, если известно: cos a= 1/корень из 3;
математика 10-11 класс
1028
Все решения
u821511235
2019-04-10 11:28:44
Написать комментарий
Меню
Решим всё
Найти задачу
Категории
Статьи
Тесты
Архив задач
Присоединяйся в ВК