Задать свой вопрос   *более 50 000 пользователей получили ответ на «Решим всё»

Задача 35562 Две пружины с жёсткостями k1=0,3кН/м и...

Условие

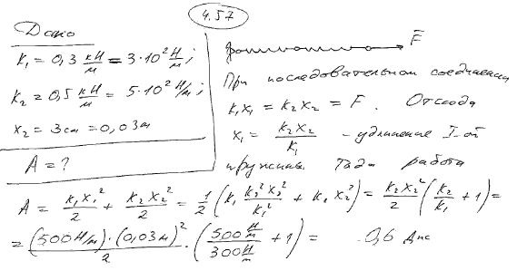
Две пружины с жёсткостями k1=0,3кН/м и k2=0,5 кН/м скреплены последовательно и растянуты так , что абсолютная деформация x2 второй пружины равна 3см. Вычислите работу А растяжения пружины

физика ВУЗ 3686

Решение

Написать комментарий

Меню

Присоединяйся в ВК